5 Preverjanje hipotez
5.1 Statistične primerjave dveh neodvisnih vzorcev
V datoteki AF_EKG.xls so zbrani podatki o pacientih z atrijsko fibrilacijo (AF) po operaciji na srcu (Kališnik et al. 2015). Zbranih je veliko podatkov: nekaj o samih pacientih in koliko časa so ostali na intenzivni negi (ICU), ostali parametri pa so parametri EKG, ki smo jih merili pred operacijo.
Zanima nas, kateri parametri so statistično značilno različni pri pacientih z in brez AF.
Izvedite ustrezno statistično analizo:
Izračunajte opisne statistike vseh parametrov in jih ustrezno zapišite v tabelo.
Preverite normalno porazdelitev meritev in se odločite, katere statistične teste bomo uporabili pri analizi.
Podatke o deležih (kategorijske spremenljivke) preverite s testom za deleže.
Komentirajte rezultate in podajte zaključke analize.
Z SPSS preberemo podatke iz naloge za statistično analizo. To naredimo tako, da ustrezno datoteko s podatki izberemo z ukazom File -> Open -> Data… ali File -> Import Data -> Excel … in podatke v naložimo SPSS.
Sedaj moramo tabelo ustrezno popraviti, ker so se podatki neustrezno uvozili iz Excelove
tabele. Pobrisali bomo prazne vrstice. To storimo tako, da označimo vrstice, ki jih želimo izbrisati. Pritisnemo desni miškin klik in izberemo Clear…
V Data View pobrišemo od 89. vrstice do 122. vrstice.

V Variable View pobrišemo od 33. vrstice do 614. vrstice.

Popravimo lahko tudi izpise, na koliko decimalnih mest naj se izpisujejo spremenljivke. Priporočljivo bi bilo popraviti vse na 2 decimalni mesti, razen parametra alfa1 in alfa2.
Tako smo podatke uredili.
Zanima nas ali obstajajo statistično značilne razlike med pacienti, pri katerih ni prišlo do pojava atrijske fibrilacije in pacienti, pri katerih je prišlo do pojava atrijske fibrilacije (AF). Zanimajo nas razlike med skupino AF = 0 in AF = 1 v naslednjih parametrih: spol, starost, BMI, Pd, PQ, QTc Framingham, alfa 1 in alfa 2.
Zato predpostavimo naslednje hipoteze, ki jih bomo preverjali:
H0:
Deleži med spoloma med skupinama z in brez AF se statistično značilno ne razlikujejo.
Povprečja starosti med skupinama z in brez AF se statistično značilno ne razlikujejo.
Povprečja BMI med skupinama z in brez AF se statistično značilno ne razlikujejo.
Povprečja Pd med skupinama z in brez AF se statistično značilno ne razlikujejo.
Povprečja PQ med skupinama z in brez AF se statistično značilno ne razlikujejo.
Povprečja QTc Framingham med skupinama z in brez AF se statistično značilno ne razlikujejo.
Povprečja alfa1 med skupinama z in brez AF se statistično značilno ne razlikujejo.
Povprečja alfa2 med skupinama z in brez AF se statistično značilno ne razlikujejo.
H1:
Deleži med spoloma med skupinama z in brez AF se statistično značilno razlikujejo.
Povprečja starosti med skupinama z in brez AF se statistično značilno razlikujejo.
Povprečja BMI med skupinama z in brez AF se statistično značilno razlikujejo.
Povprečja Pd med skupinama z in brez AF se statistično značilno razlikujejo.
Povprečja PQ med skupinama z in brez AF se statistično značilno razlikujejo.
Povprečja QTc Framingham med skupinama z in brez AF se statistično značilno razlikujejo.
Povprečja alfa1 med skupinama z in brez AF se statistično značilno razlikujejo.
Povprečja alfa2 med skupinama z in brez AF se statistično značilno razlikujejo.
Najprej bomo izvedli osnovno opisno statistiko parametrov.
Spol je kategorijska spremenljivka. Za kategorijske spremenljivke izračunamo osnovno opisno statistiko z ukazom Analyze -> Descriptive Statistics -> Crosstabs…

V oknu Crosstabs izberemo, katera kategorijska spremenljivka bo izpisana v stolpcih in katera v vrsticah kontingenčne tabele.

V izvedbenem oknu SPSS se izpiše kontingenčna tabela prikazana v spodnji tabeli:

V skupini AF = 0 je 48 moških in 19 žensk, skupaj 67 (N = 67). V skupini AF = 1 je 10 moških in 10 žensk, skupaj 20 (N = 20).
Izvedemo še opisno statistiko za skalarne spremenljivke: Analyze -> Descriptive Statistics -> Explore… in z gumbom Plots… označimo še Normality plots with tests, saj nas zanimajo še testi normalnosti.

V izvedbenem oknu se nam izpiše naslednja tabela.

Iz naslednje tabele odčitamo ali so opazovane spremenljivke normalno porazdeljene ali ne.

V primeru, da se Kolmogorov-Smirnov test in Shapiro-Wilkov test ne ujemata v rezultatih normalne porazdeljenosti, upoštevamo Shapiro-Wilkov test, ki je bolj primeren za takšno število podatkov.
Ugotovimo, da so starost, QTc Framingham, alfa 1 in alfa 2 normalno porazdeljeni, medtem ko BMI, Pd in PQ niso normalno porazdeljeni.
Pripravimo skupno tabelo iz naših analiz, v katero vpisujemo rezultate. Kategorijske spremenljivke zapisujemo kot deleže, skalarne spremenljivke pa kot povprečje ± standardni odklon. Tabela prikazuje podatke po opravljeni opisni statistiki vseh spremenljivk.
AF=0 (N=67) |
AF=1 (N=20) |
|
|---|---|---|
| Spol (M/Ž) | 48/19 | 10/10 |
| Starost | 66.2 ± 11.3 | 76.2 ± 6.3 |
| BMI* | 28.5 ± 4.1 | 27.3 ± 4.4 |
| Pd* | 111.1 ± 20.2 | 106.0 ± 19.0 |
| PQ* | 174.0 ± 12.1 | 159.2 ± 11.0 |
| QTc Framingham | 428.5 ± 21.1 | 433.4 ± 24.8 |
| alfa1 | 1.13 ± 0.28 | 1.08 ± 0.31 |
| alfa2 | 0.83 ± 0.13 | 0.99 ± 0.16 |
Z * označimo spremenljivke, ki niso normalno porazdeljene.
Na podlagi porazdelitev podatkov izberemo ustrezen statistični test za primerjavo.
V primeru skalarnih spremenljivk, ki so normalno porazdeljene, bomo med sabo primerjali povprečne vrednosti, zato bomo uporabili t-test. Za primerjavo skalarnih spremenljivk, ki niso normalno porazdeljene pa uporabimo Mann Whitney U test. V primeru kategorijskih spremenljivk med seboj primerjamo deleže s hi-kvadrat testom.
S hi-kvadrat testom bomo med seboj primerjali deleže z ukazom Analyze -> Descriptive Statistics -> Crosstabs… z gumbom Statistics… izberemo Chi-square.

V SPSS se izpiše tabela hi-kvadrat testa. P-vrednost je 0.072.

Za primerjavo dveh neodvisnih vzorcev, ki sta normalno porazdeljena uporabimo t-test za neodvisne spremenljivke z ukazom Analyze -> Compare Means -> Independent-Samples T Test…

V oknu Independent-Samples T Test definiramo skupini, kjer 0 predstavlja skupino brez AF (AFpostop = 0) in 1 skupino z AF (AFpostop = 1).
V primeru izvajanja t-testa imamo 2 možnosti: t-test ob predpostavki enakih varianc in t-test ob predpostavki neenakih varianc. Za kateri test se odločimo nam pove Levenov test enakosti varianc. Če je p-vrednost Levenovega testa večja od 0.05, upoštevamo p-vrednost t-testa, ki predvideva enake variance, če pa je p-vrednost Levenovega testa manjša od 0.05 pa upoštevamo p-vrednost t-testa, ki predvideva neenake variance.
Spodnja tabela prikazuje rezultate t-testa.
p-vrednosti vpišemo v tabelo:
AF=0 (N=67) |
AF=1 (N=20) |
p vrednost |
|
|---|---|---|---|
| Spol (M/Ž) | 48/19 | 10/10 | 0.072 |
| Starost | 66.2 ± 11.3 | 76.2 ± 6.3 | < 0.001 |
| BMI* | 28.5 ± 4.1 | 27.3 ± 4.4 | |
| Pd* | 111.1 ± 20.2 | 106.0 ± 19.0 | |
| PQ* | 174.0 ± 12.1 | 159.2 ± 11.0 | |
| QTc Framingham | 428.5 ± 21.1 | 433.4 ± 24.8 | 0.521 |
| alfa1 | 1.13 ± 0.28 | 1.08 ± 0.31 | 0.531 |
| alfa2 | 0.83 ± 0.13 | 0.99 ± 0.16 | < 0.001 |
* meritve niso normalno porazdeljene
Za primerjavo dveh neodvisnih vzorcev, ki nista normalno porazdeljena, uporabimo Mann Whitney U test z ukazom Analyze -> Nonparametric Test -> Independent Samples…

V zavihku Fields določimo spremenljivke, ki jih bomo testirali (BMI, PD, PQ) glede na spremenljivko, ki predstavlja dve skupini (AFpostop).

V zavihku Settings pa izberemo še ustrezni test:

V izvedbenem oknu SPSS se izpiše naslednja tabela z rezultati:

p-vrednosti neparametričnega Mann Whitney U testa zapišemo v tabelo (pri tem je potrebno opozoriti, da se v verziji IBM SPSS statistics 25, ki smo jo uporabljali v našem primeru, napačno izpisujejo p-vrednosti neparametričnih testov). Tako dobimo končno tabelo:
AF=0 (N=67) |
AF=1 (N=20) |
p vrednost |
|
|---|---|---|---|
| Spol (M/Ž) | 48/19 | 10/10 | 0.072 |
| Starost | 66.2 ± 11.3 | 76.2 ± 6.3 | < 0.001 |
| BMI* | 28.5 ± 4.1 | 27.3 ± 4.4 | 0.224 |
| Pd* | 111.1 ± 20.2 | 106.0 ± 19.0 | 0.190 |
| PQ* | 174.0 ± 12.1 | 159.2 ± 11.0 | < 0.001 |
| QTc Framingham | 428.5 ± 21.1 | 433.4 ± 24.8 | 0.521 |
| alfa1 | 1.13 ± 0.28 | 1.08 ± 0.31 | 0.531 |
| alfa2 | 0.83 ± 0.13 | 0.99 ± 0.16 | < 0.001 |
* meritve niso normalno porazdeljene
Statistična metodologija:
Razlike med skupinama pacientov brez in z atrijsko fibrilacijo smo preverjali z uporabo naslednjih statističnih testov: t-testa dveh neodvisnih vzorcev v primeru normalno porazdeljenih podatkov in z uporabo Mann Whitney U testa v primeru, ko podatki niso bili normalno porazdeljeni. Normalno porazdelitev smo testirali z uporabo Shapiro-Wilkovega testa. Kategorijske spremenljivke smo testirali z uporabo hi-kvadrat testa. Podatki v tabelah so podani v obliki povprečje ± standardni odklon. Meja za statistično značilnost je postavljana pri p < 0.05. Statistična analiza je bila izvedena s programom IBM SPSS Statistics.
Rezultati:
Iz rezultatov statistične analize smo ugotovili, da obstajajo statistično značilne razlike med skupinama z in brez atrijske fibrilacije pri starosti (p < 0.001), PQ (p < 0.001) in alfa 2 (p < 0.001). Statistično značilnih razlik pa ne ugotovimo pri BMI (p = 0.224), Pd (p = 0.190), QTc Framingham (p = 0.521) in alfa 1 (p = 0.531). Statistično značilnih razlik med skupinama tudi ne moremo potrditi pri kategorijski spremenljivki spol (p = 0.072).
5.2 Statistične primerjave dveh odvisnih vzorcev
V datoteki AF_EKG_pre_post.xls so zbrani podatki o pacientih z atrijsko fibrilacijo po operaciji na srcu (Kališnik et al. 2015). Tokrat imamo podatke o EKG parametrih še izmerjene dvakrat po operaciji, vendar pred nastopom atrijske fibrilacije.
Zanima nas, ali obstajajo statistično značilne razlike med parametri pred in po operaciji.
Izvedi ustrezne statistične analize ločeno glede na AF = 0 in AF = 1. Podatke ustrezno predstavi. Ugotovi, ali so meritve normalno porazdeljene. Nato izvedi ustrezen test.
Rezultate predstavi v končni tabeli in jih komentiraj.
Uvozimo podatke iz Excela: File -> Import data -> Excel…

Nato izbrišemo ‘’prazne’’ podatke v Data View in tudi v Variable View. V Variable View preverimo, če so določeni pravi tipi spremenljivk in zmanjšamo število decimalk na 2 mesti. Pri spremenljivkah alfa1 in alfa2 lahko pustimo več decimalk (6), saj so vrednosti teh spremenljivk majhne. Izsek urejenega zavihka Variable View je prikazan na spodnji sliki.

Primerjali bomo izbrane spremenljivke (Pd, PQ, QTcFramingham, alfa1, alfa2) pred operacijo na srcu in po operaciji na srcu za paciente z atrijsko fibrilacijo (AF = 1) in za paciente brez atrijske fibrilacije (AF = 0). Zato moramo v programu SPSS vključiti ločeno obravnavo teh dveh skupin. To naredimo z ukazom: Data -> Split file… in izberemo Compare groups based on AF postop:


Zanimajo nas povprečne vrednosti in standardni odkloni za vsako izmed spremenljivk. Hkrati bomo preverili ali so spremenljivke normalno porazdeljene. Na podlagi porazdelitev, se bomo odločili katere teste bomo uporabili za ugotavljanje statistično značilnih razlik. To izvedemo z ukazom: Analyze -> Descriptive Statistics -> Explore…, kjer izberemo željene spremenljivke, z gumbom Plots… pa izberemo izračun testov normalnosti z izbiro Normality plots with tests.


Iz dobljenih rezultatov izpišemo povprečje in standardni odklon za vsako spremenljivko posebej, ločeno za paciente brez atrijske fibrilacije in z atrijsko fibrilacijo. Prikazan je primer opisne statistike za spremenljivko Pd izmerjeno pred operacijo za paciente brez atrijske fibrilacije.

Ustvarimo si tabelo, kjer pregledno izpišemo podatke. Prva tabela prikazuje rezultate za paciente brez atrijske fibrilacije (AF = 0), druga pa z atrijsko fibrilacijo (AF = 1). Stolpec PRE prikazuje povprečne vrednosti in standardne odklone za določene spremenljivke pred operacijo, stolpec POST1 pa po operaciji.
| AF = 0 | ||
|---|---|---|
| PRE (povprečje ± SD) | POST1 (povprečje ± SD) | |
| Pd | 112.0 ± 18.4 | 101.2 ± 19.8 |
| PQ | 168.1 ± 22.4 | 153.6 ± 29.4 |
| QTcFramingham | 427.1 ± 20.0 | 453.4 ± 54.2 |
| alfa1 | 1.16 ± 0.28 | 1.12 ± 0.35 |
| alfa2 | 0.96 ± 0.14 | 1.08 ± 0.13 |
Postavimo si ničelne in alternativne hipoteze za AF=0:
H0:
Razlika med povprečjema Pd pred operacijo in Pd po operaciji pri pacientih brez atrijske fibrilacije je enaka 0.
Razlika med povprečjema PQ pred operacijo in PQ po operaciji pri pacientih brez atrijske fibrilacije je enaka 0.
Razlika med povprečjema QTcFramingham pred operacijo in QTcFramingham po operaciji pri pacientih brez atrijske fibrilacije je enaka 0.
Razlika med povprečjema alfa1 pred operacijo in alfa1 po operaciji pri pacientih brez atrijske fibrilacije je enaka 0.
Razlika med povprečjema alfa2 pred operacijo in alfa2 po operaciji pri pacientih brez atrijske fibrilacije je enaka 0.
H1:
Razlika med povprečjema Pd pred operacijo in Pd po operaciji pri pacientih brez atrijske fibrilacije ni enaka 0.
Razlika med povprečjema PQ pred operacijo in PQ po operaciji pri pacientih brez atrijske fibrilacije ni enaka 0.
Razlika med povprečjema QTcFramingham pred operacijo in QTcFramingham po operaciji pri pacientih brez atrijske fibrilacije ni enaka 0.
Razlika med povprečjema alfa1 pred operacijo in alfa1 po operaciji pri pacientih brez atrijske fibrilacije ni enaka 0.
Razlika med povprečjema alfa2 pred operacijo in alfa2 po operaciji pri pacientih brez atrijske fibrilacije ni enaka 0.
| AF = 1 | ||
|---|---|---|
| PRE (povprečje ± SD) | POST1 (povprečje ± SD) | |
| Pd | 103.1 ± 20.1 | 99.7 ± 19.5 |
| PQ | 150.9 ± 22.2 | 145.1 ± 24.4 |
| QTcFramingham | 435.3 ± 23.7 | 425.4 ± 32.3 |
| alfa1 | 1.04 ± 0.33 | 1.10 ± 0.30 |
| alfa2 | 0.99 ± 0.17 | 0.98 ± 0.14 |
Postavimo si ničelne in alternativne hipoteze za AF=1:
H0:
Razlika med povprečjema Pd pred operacijo in Pd po operaciji pri pacientih z atrijsko fibrilacijo je enaka 0.
Razlika med povprečjema PQ pred operacijo in PQ po operaciji pri pacientih z atrijsko fibrilacijo je enaka 0.
Razlika med povprečjema QTcFramingham pred operacijo in QTcFramingham po operaciji pri pacientih z atrijsko fibrilacijo je enaka 0.
Razlika med povprečjema alfa1 pred operacijo in alfa1 po operaciji pri pacientih z atrijsko fibrilacijo je enaka 0.
Razlika med povprečjema alfa2 pred operacijo in alfa2 po operaciji pri pacientih z atrijsko fibrilacijo je enaka 0.
H1:
Razlika med povprečjema Pd pred operacijo in Pd po operaciji pri pacientih z atrijsko fibrilacijo ni enaka 0.
Razlika med povprečjema PQ pred operacijo in PQ po operaciji pri pacientih z atrijsko fibrilacijo ni enaka 0.
Razlika med povprečjema QTcFramingham pred operacijo in QTcFramingham po operaciji pri pacientih z atrijsko fibrilacijo ni enaka 0.
Razlika med povprečjema alfa1 pred operacijo in alfa1 po operaciji pri pacientih z atrijsko fibrilacijo ni enaka 0.
Razlika med povprečjema alfa2 pred operacijo in alfa2 po operaciji pri pacientih z atrijsko fibrilacijo ni enaka 0.
S pomočjo Shapiro-Wilk testa za porazdelitev podatkov ugotovimo, da sta spremenljivki Pd_PRE in Pd_POST1 za AF = 0 normalno porazdeljeni, ostale spremenljivke pri AF = 0 pa niso normalno porazdeljene. Spremenljivke, ki niso normalno porazdeljene smo v tabeli označili z *.
Pri ugotavljanju statistično značilnih razlik med Pd pred in po operaciji za skupino pacientov brez atrijske fibrilacije (AF = 0) bomo zaradi normalne porazdelitve podatkov uporabili parni t-test z ukazom Analyze -> Compare means -> Paired-Samples T test….

Določimo par spremenljivk: Pd_PRE in Pd_POST.

Primerjamo spremenljivko Pd le za paciente brez atrijske fibrilacije, zato razberemo vrednost p pri AF postop = 0. Vrednost je p < 0.001. Ker je p-vrednost manjša od 0.05, lahko ničelno hipotezo ovržemo in sprejmemo alternativno hipotezo, ki pravi da obstajajo statistično značilne razlike med povprečno vrednostjo Pd pred operacijo in po operaciji pri pacientih brez atrijske fibrilacije.

Pri ugotavljanju statistično značilnih razlik drugih spremenljivk pred in po operaciji za skupino pacientov brez atrijske fibrilacije (AF = 0), bomo zaradi nenormalne porazdelitve podatkov uporabili Wilcoxonov test predznaka z ukazom Analyze -> Nonparametric tests -> Related Samples….

V zavihku Fields določimo par spremenljivk, ki jih bomo primerjali. Naenkrat lahko primerjamo le 2 vzorca, zato naredimo vsako primerjavo posebej.

V zavihku Settings označimo test, ki ga želimo izvesti Customize tests -> Wilcoxon matched-pair signed rank (2 samples) in kliknemo Run.

p-vrednost je < 0.001, zato ničelno hipotezo zavrnemo.

Enak postopek naredimo za ostale spremenljivke, katerih meritve niso normalno porazdeljene pri AF = 0. Tako dopolnimo tabelo še s p-vrednostmi.
| AF = 0 | |||
|---|---|---|---|
| PRE (povprečje ± SD) |
POST1 (povprečje ± SD) |
p-vrednost | |
| Pd | 112.0 ± 18.4 | 101.2 ± 19.8 | <0.001 |
| PQ* | 168.1 ± 22.4 | 153.6 ± 29.4 | <0.001 |
| Q T cFramingham* | 427.1 ± 20.0 | 453.4 ± 54.2 | 0.001 |
| alfa1* | 1.16 ± 0.28 | 1.12 ± 0.35 | 0.468 |
| alfa2* | 0.96 ± 0.14 | 1.08 ± 0.13 | <0.001 |
Tako lahko ugotovimo, da statistično značilnih razlik v povprečni vrednosti alfa1 pred operacijo in po operaciji za paciente brez atrijske fibrilacije ni (p = 0.468). Pri ostalih spremenljivkah pa obstajajo statistično značilne razlike med povprečji pred in po operaciji pri pacientih brez atrijske fibrilacije.
Pri skupini pacientov z atrijsko fibrilacijo (AF = 1) smo s pomočjo Shapiro-Wilk testa za testiranje normalne porazdelitve podatkov ugotovili, da so vse spremenljivke normalno porazdeljene, zato smo za ugotavljanje statistično značilnih razlik posameznih spremenljivk pred in po operaciji uporabili parni t-test z ukazom Analyze -> Compare means -> Paired-Samples T test…

Določimo pare spremenljivk:

Primerjamo spremenljivke le za paciente z atrijsko fibrilacijo, zato razberemo p-vrednosti pri AF postop = 1.

Na podlagi teh rezultatov dopolnimo tabelo pri AF = 1 še s p-vrednostmi.
| AF = 1 | |||
|---|---|---|---|
| PRE (povprečje ± SD) |
POST1 (povprečje ± SD) |
p-vrednosti | |
| Pd | 103.1 ± 20.1 | 99.7 ± 19.5 | 0.607 |
| PQ | 150.9 ± 22.2 | 145.1 ± 24.4 | 0.188 |
| QTcFramingham | 435.3 ± 23.7 | 425.4 ± 32.3 | 0.477 |
| alfa1 | 1.04 ± 0.33 | 1.10 ± 0.30 | 0.344 |
| alfa2 | 0.99 ± 0.17 | 0.98 ± 0.14 | 0.775 |
Ugotovimo, da statistično značilnih razlik med povprečji posameznih spremenljivk pred in po operaciji pri pacientih z atrijsko fibrilacijo ni, saj so vse p-vrednosti večje od 0.05, kar pomeni, da ničelnih hipotez ne moremo zavrniti.
Statistična metodologija:
S statistično analizo smo ugotavljali, ali obstajajo razlike med izbranimi EKG parametri pred in po operaciji. Statistično analizo smo izvajali ločeno pri pacientih z in brez atrijske fibrilacije. Statistično značilnost razlik smo preverjali z uporabo statističnih testov: parnega t-testa v primeru normalne porazdelitve podatkov in z uporabo Wilcoxon-ovega testa predznaka v primeru, ko podatki niso bili normalno porazdeljeni. Normalnost porazdelitve EKG parametrov smo testirali z uporabo Shapiro-Wilk testa.
Rezultate smo podali v dveh ločenih tabelah za skupino z atrijsko fibrilacijo in brez atrijske fibrilacije. Predstavljeni so v obliki povprečje ± standardni odklon s pripadajočo p-vrednostjo ustreznega testa. Meja za statistično značilnost je postavljena na p = 0.05.
Rezultati:
S statistično analizo smo ugotovili, da obstajajo statistično značilne razlike v vseh EKG parametrih v primeru skupine pacientov brez atrijske fibrilacije, razen v primeru parametra alfa1 (p = 0.468). V skupini pacientov z atrijsko fibrilacijo nismo ugotovili statistično značilnih razlik med analiziranimi EKG parametri (vse p-vrednosti > 0.05).
5.3 Testiranje podatkov v deležih
V datoteki koncna_anketa_o_izgorelosti.doc je predstavljena anketa, ki so jo izpolnjevali zaposleni v radiološki tehnologiji, s katero smo želeli ugotoviti stopnjo izgorelosti v poklicu radioloških inženirjev (Starc 2008). V datoteki bfi_izgorelost.sav so zbrani rezultati ankete.
Analiziraj anketo:
predpostavi osnovno hipotezo
- ali obstajajo razlike med spoloma,
- ali obstajajo razlike med poklici,
izriši ustrezne grafe za to hipotezo,
izračunaj ustrezno statistiko in preveri statistično značilnost,
komentiraj rezultate.
Podatki ankete morajo v SPSS biti zapisani tako, da jih lahko obdelamo. Po navadi vsako vprašanje anketnega vprašalnika predstavlja svojo spremenljivko, zato je vsako vprašanje zapisano v svojem stolpcu. Spremenljivke so poimenovane po anketnem vprašanju. Vsaka vrstica predstavlja odgovore enega anketnega vprašalnika. Vsi odgovori anketnega vprašalnika so kodirani kot števila.
Ugotovimo, da je v raziskavo vključenih 140 anketnih vprašalnikov. V demografskih vprašanjih imamo podatke o spolu. Imamo 2 kategoriji: moški, ženska. Pri poklicu oziroma delu, ki ga anketiranec opravlja imamo 3 kategorije: inženir ali diplomirani inženir radiologije, mentor kliničnih vaj – delo z bolniki in s študenti radiologije, predavatelj na fakulteti. Na splošno so odgovori na anketna vprašanja ponavadi kategorijske spremenljivke.
Analizirali bomo anketno vprašanje 5 in vprašanje 20.
Vprašanje 5: Koliko ur na dan med delovnim tednom običajno spite?
a. 1 več kot 8 ur
b. 2 8 ur
c. 3 6-7 ur
d. 4 manj kot 6 ur
Vprašanje 20: Kako pogosto se počutite utrujeni?
a. 5 vedno
b. 4 pogosto
c. 3 včasih
d. 2 redkokdaj
e. 1 nikoli/skoraj nikoli
Postavili smo si naslednja raziskovalna vprašanja:
V1: Ali obstajajo statistično značilne razlike v deležih med odgovori na vprašanje »Koliko ur na dan med delovnim tednom običajno spite?« glede na spol?
V2: Ali obstajajo statistično značilne razlike v deležih med odgovori na vprašanje »Koliko ur na dan med delovnim tednom običajno spite?« glede na poklic?
V3: Ali obstajajo statistično značilne razlike v deležih med odgovori na vprašanje »Kako pogosto se počutite utrujeni?« glede na spol?
V4: Ali obstajajo statistično značilne razlike v deležih med odgovori na vprašanje »Kako pogosto se počutite utrujeni?« glede na poklic?
Ker bomo primerjali kategorijske spremenljivke (spol ali poklic) s kategorijskimi spremenljivkami (odgovori na vprašanja) bomo uporabili hi-kvadrat test. Za analizo anket večinoma uporabljamo hi-kvadrat test.
Preverimo 1. vprašanje: Ali obstajajo statistično značilne razlike v deležih med odgovori na vprašanje »Koliko ur na dan med delovnim tednom običajno spite?« glede na spol?
Da bi pokazali razlike med spoloma, kjer imamo štiri odgovore, bomo uporabili stolpični diagram z ukazom Graphs -> Chart Builder…

Stolpični diagram nam prikaže število ljudi, ki je odgovorilo na vprašanje, hkrati pa prikaže še kako so odgovarjali glede na spol.
V oknu Chart Builder v spodnjem levem okvirčku poiščemo Bar v zavihku Gallery. Opazimo, da imamo na izbiro več vrst stolpičnih diagramov. V tem primeru izberemo drugega po vrsti, ki razlikuje glede na barvo in ga povlečemo v polje. Spremenljivko Koliko ur na dan med delovnim tednom spite? prenesemo na x-os. Spol prenesemo v okvirček Cluster on X. Spol (moški, ženske) bo prikazan v dveh različnih barvah.

SPSS izriše naslednji graf.

Iz stolpičnega grafa lahko glede na višino stolpcev razberemo, da največ anketirancev med tednom spi 6-7 ur na dan in da je bilo anketiranih več žensk kot moških. Ker so razlike med stolpci pri vsaki kategoriji proporcionalno približno enake, sklepamo, da razlik v količini spanca med spoloma ni.
Ali so deleži odgovorov moških in žensk proporcionalni glede na število ur spanja bomo ugotovili s hi-kvadrat testom.
Uporabimo ukaz: Analyze -> Descriptive Statistics -> Crosstabs… z gumbom Statistics… označimo Chi-square.

V SPSS se izpiše kontingenčna tabela 4 × 2, iz katere ugotovimo, da je razmerje med moškimi in ženskami za vsak odgovor približno 1:2.

Izpiše se tudi tabela hi-kvadrat testa.

Hi-kvadrat statistika pravi, da je p-vrednost 0.916, kar pomeni, da glede na število ur spanja, ne obstajajo statistično značilne razlike v deležih med moškimi in ženskami.
Preverimo 2. vprašanje: Ali obstajajo statistično značilne razlike v deležih med odgovori na vprašanje »Koliko ur na dan med delovnim tednom običajno spite?« glede na poklic?
Za izris stolpičnega diagrama uporabimo ukaz Graphs -> Chart Builder…

V oknu Chart builder v spodnjem levem okvirčku poiščemo Bar v zavihku Gallery in izberemo drugega po vrsti, ki razlikuje glede na barvo ter ga povlečemo v polje. Spremenljivko Koliko ur na dan med delovnim tednom spite? prenesemo na x-os. Poklic ali delo, ki ga opravljate prenesemo v okvirček Cluster on X. Poklic (inž. ali dipl. inž. radiologije, mentor kliničnih vaj – delo z bolniki in s študenti radiologije, predavatelj na fakulteti) bo prikazan v treh različnih barvah.
SPSS nam izriše naslednji graf:

Ugotovimo lahko, da največ anketirancev med tednom spi 6-7 ur na dan. Največ anketirancev opravlja poklic diplomiranega radiološkega inženirja. Sklepamo, da razlike v številu ur spanja glede na deleže med poklici so, saj razlike med stolpci znotraj enega časa niso proporcionalno enake glede na ostale čase.
Ali so deleži števila ur spanja med delovnim tednom glede na poklic približno enaki, bomo ugotovili s hi-kvadrat testom.
Uporabimo ukaz: Analyze -> Descriptive Statistics -> Crosstabs… z gumbom Statistics… označimo Chi-square.

V SPSS se izpiše kontingenčna tabela ter tabela hi-kvadrat testa.


Hi-kvadrat statistika pravi, da je p-vrednost 0.550, kar pomeni, da ne obstajajo statistično značilne razlike v deležih v številu ur spanja med delovnim tednom, glede na poklic, ki ga opravljajo anketiranci.
Preverimo 3. vprašanje: Ali obstajajo statistično značilne razlike v deležih med odgovori na vprašanje »Kako pogosto se počutite utrujeni?« glede na spol?
Za izris stolpičnega diagrama uporabimo ukaz Graphs -> Chart Builder…
V oknu Chart builder v spodnjem levem okvirčku poiščemo Bar v zavihku Gallery. Izberemo drugega po vrsti, ki razlikuje glede na barvo in ga povlečemo v polje. Spremenljivko Kako pogosto ste utrujeni? prenesemo na x-os. Spol prenesemo v okvirček Cluster on X. Spol (moški, ženske) bo prikazan v dveh različnih barvah.
SPSS nam izriše naslednji graf:

Ugotovimo, da so anketiranci največkrat utrujeni »včasih«. Glede na približno proporcionalno enake razlike med stolpci pri vsakem odgovoru, lahko sklepamo, da razlike v deležih med spoloma ni. Preverimo še s hi-kvadrat testom.
Uporabimo ukaz: Analyze -> Descriptive Statistics -> Crosstabs… z gumbom Statistics… označimo Chi-square.

V SPSS se izpiše kontingenčna tabela ter tabela hi-kvadrat testa.
Hi-kvadrat statistika pravi, da je p-vrednost 0.201, kar pomeni, da glede na utrujenost ne obstajajo statistično značilne razlike v deležih med moškimi in ženskami.
Preverimo še 4. vprašanje: Ali obstajajo statistično značilne razlike v deležih med odgovori na vprašanje »Kako pogosto se počutite utrujeni?« glede na poklic?
Za izris stolpičnega diagrama uporabimo ukaz Graphs -> Chart Builder…
V oknu Chart builder v spodnjem levem okvirčku poiščemo Bar v zavihku Gallery. Izberemo drugega po vrsti, ki razlikuje glede na barvo in ga povlečemo v polje. Spremenljivko Kako pogosto ste utrujeni? prenesemo na x-os. Poklic ali delo, ki ga opravljate prenesemo v okvirček Cluster on X. Poklic (inž. ali dipl. inž. radiologije, mentor kliničnih vaj – delo z bolniki in s študenti radiologije, predavatelj na visoki šoli za zdravstvo) bo prikazan v treh različnih barvah.
SPSS nam izriše naslednji graf:

Ugotovimo, da so anketiranci največkrat utrujeni včasih. Glede na približno proporcionalno enake razlike med stolpci znotraj enega odgovora v primerjavi z drugimi odgovori lahko sklepamo, da razlike v deležih med spoloma ni. Preverimo še s hi-kvadrat testom.
Uporabimo ukaz: Analyze -> Descriptive Statistics -> Crosstabs… z gumbom Statistics… označimo Chi-square. Z gumbom Cells… izberemo še, katere odstotke bomo izpisali v kontingenčni tabeli. Izberemo odstotke po stolpcih, kot je prikazano spodaj:


V SPSS se izpiše kontingenčna tabela ter tabela hi-kvadrat testa.

V prvi tabeli lahko vidimo tudi deleže med poklici pri posameznih odgovorih, kjer lahko ugotovimo, da so deleži med poklici različni, vendar hi-kvadrat statistika pravi, da je p-vrednost 0.747, kar pomeni, da glede na utrujenost ne obstajajo statistično značilne razlike v deležih med različnimi poklici.
Stolpične diagrame uporabljamo za prikazovanje kategorijskih spremenljivk, zato so primerni za prikazovanje odgovorov na anketna vprašanja.
Kontingenčna tabela je tabela frekvenc posameznih dogodkov v vzorcu (štejemo koliko odgovorov imamo pri kombinacijah posameznih kategorij pri več kategorijskih spremenljivkah).
Hi-kvadrat test uporabljamo, kadar želimo preveriti ali so razmerja med količinami enaka glede na neko spremenljivko. Zastavimo ničto hipotezo, ki pravi da sta opazovani kategorijski spremenljivki nepovezani. S hi-kvadrat testom nato primerjamo dejansko število udeležencev po kategorijah s pričakovanim številom udeležencev, če bi imeli enaka razmerja med kategorijami. V primeru, da je p-vrednost manjša od 0.05 zavrnemo ničto hipotezo, kar pomeni, da so deleži ljudi med različnimi kategorijami različni, kar pomeni, da kategorijska spremenljivka statistično značilno vpliva na različne deleže med skupinami.
V našem primeru se ukvarjamo z deležem moških in žensk pri vsakem odgovoru na eno anketno vprašanje. Če so deleži moških in žensk pri vsakem odgovoru približno enaki, potem lahko trdimo, da sta spol in število ur spanja nepovezana, saj je delež moških in žensk pri vsakem odgovoru na anketno vprašanje približno enak.
Na enak način razlagamo rezultate drugih spremenljivk.
Tu smo obravnavali samo osnovne analize anketnih vprašanj.
5.4 Testiranje podatkov v deležih – odvisne meritve
V datoteki HeartValve_pre_post.xlsx so zbrani podatki o stanju pacientov po menjavi srčne zaklopke (Marques De Sá 2007).
Zanima nas stanje pacientov pred in po menjavi srčne zaklopke (pre_c, post_c), ki je ovrednoteno po standardu NYHA: (NYHA - New York Heart Association):
0 = No sympyoms
1, 2 = Mild symptoms
3, 4 = Severe symptoms
Ali se je stanje pacientov bistveno izboljšalo?
- Izvedi ustrezno statistično analizo in podaj komentarje.
Z SPSS preberemo podatke iz naloge za statistično analizo. To naredimo tako, da ustrezno datoteko s podatki izberemo z ukazom File -> Open -> Data… in preberemo Excelovo datoteko z izbiro File Type: Excel.


Podatki so organizirani tako, kot je prikazano v spodnji tabeli:

Obravnavamo 526 pacientov, ki so imeli zamenjavo srčne zaklopke (nekatere vrednosti manjkajo, tako da imamo v resnici manj meritev). Ker nas zanima stanje pacientov ovrednoteno po standardu NYHA pred in po menjavi srčne zaklopke, obravnavamo spremenljivki pre_c in post_c. To sta kategorijski spremenljivki z vrednostmi: 0, 1, 2, 3, 4.
Po označbah NYHA to predstavlja naslednje kategorije pacientov: 0 = No symptoms; 1 in 2 = Mild symptoms; 3 in 4 = Severe symptoms. Zato najprej preoblikujemo spremenljivke v NYHA označbe po naslednjem postopku. Z ukazom Transform -> Recode into Different Variables… bomo prekodirali spremenljivki pre_c in post_c glede na NYHA označbe:

V oknu Recode into Different Variables izberemo spremenljivko pre_c in za Output variable napišemo novo spremenljivko pre_c_nyha, potem pa z gumbom Old and New Values… določamo kako se bodo vrednosti kodirale in sicer 0 -> 0, 1 -> 1 in 2 -> 1 ter 3 -> 2 in 4 -> 2, pri čemer predpostavimo, da nove vrednosti predstavljajo: 0 = No Symptoms, 1 = Mild Symptoms, 2 = Severe Symptoms po NYHA.


Podobno prekodiramo spremenljivko post_c v novo spremenljivko post_c_nyha.
Ker bi radi pokazali, ali so se kategorije bolečin po NYHA pri istih pacientih po operaciji spremenile glede na stanje pred operacijo in ker imamo kategorijske spremenljivke, bomo uporabili McNemarjev test, s katerim testiramo spremembe deležev kategorijskih spremenljivk z odvisnimi meritvami.
McNemarjev test se izvaja s kontingenčno tabelo, zato izvedemo ukaz za izvedbo kontingenčne tabele Analyze -> Descriptive Statistics -> Crosstabs…

Za izdelavo kontingenčne tabele izberemo spremenljivki pre_c_nyha in post_c_nyha, za statistiko (z gumbom Statistics…) pa izberemo test McNemar:

V izvedbenem oknu SPSS dobimo kontingenčno tabelo in tabelo s statistiko McNemarjevega testa:


Iz rezultatov statistične analize lahko ugotovimo, da so se deleži pacientov glede na stopnje bolečin pred in po operaciji statistično značilno spremenili (p < 0.001).
Iz kontingenčne tabele tudi opazimo premike pacientov predvsem iz stopenj 1 in 2 po NYHA v nižje stopnje, s čimer lahko ugotovimo, da se stanje pacientov po operaciji srčne zaklopke v splošnem izboljša.
5.5 Enosmerna ANOVA
V datoteki Breast Tissue.xls so zbrane meritve impedančne spektroskopije na različnih tkivih dojke po biopsiji (Estrela da Silva et al. 2000).
Ugotovi, ali se meritve različno odzivajo glede na vrste tkiva.
- Najprej izvedi ANOVA za posamezne meritve glede na vrste tkiv, potem pa še Post-Hoc analizo.
- Analizo opremi z ustreznimi grafi in opisnimi statistikami.
- Komentiraj rezultate.
Z SPSS preberemo podatke iz naloge za statistično analizo. To naredimo tako, da izberemo ukaz File -> Import Data -> Excel… in izberemo datoteko Breast Tissue.xls. Pazimo, da v oknu Worksheet namesto Description izberemo Data, saj imamo tam zbrane podatke za analizo.


Opazimo, da vrstice 107-110 za našo analizo niso relevantne, zato jih označimo in izbrišemo. Kako izbrišemo vrstice, si lahko ogledate v nalogi pog. 5.1.
V prvem stolpcu so zapisane vrste tkiv, v ostalih stolpcih pa so zbrane meritve pacientov pridobljene z impedančno spektroskopijo meritev I0, PA500, HFS, DA, AREA… V nalogi se sprašujemo, ali se meritve različno odzivajo glede na vrste tkiva.
V tej nalogi se bomo ukvarjali z meritvijo I0.
Sprašujemo se, ali se meritve I0 različno odzivajo glede na vrste tkiva oziroma z drugimi besedami, ali je tkivo statistično pomemben faktor za meritev I0. Da odgovorimo na to vprašanje, moramo narediti analizo enosmerne ANOVA.
Za ostale meritve je postopek analize podoben. Zato bomo v nadaljevanju naredili analizo samo za spremenljivko I0.
Spremenljivka X predstavlja tkiva (Class), kjer imamo na voljo 6 tkiv (6 kategorij). Spremenljivka X je kategorijska spremenljivka in predstavlja faktor v naši analizi. Spremenljivka Y predstavlja skalarno meritev impedančne spektroskopije (meritve I0). Spremenljivka X je skalarna spremenljivka in predstavlja odzivno spremenljivko v naši analizi.
Ker imamo faktor z več kot dvema stopnjama, uporabimo enosmerno ANOVO.
Pri risanju ANOVE rišemo graf okvir z ročaji (ang. boxplot). Graf prikazuje porazdelitev skalarnih spremenljivk.
Narišemo boxplot z ukazom Graphs -> Chart Builder…

Primerjali bomo meritve I0 glede na spremenljivko Class. Uporabili bomo graf okvir z ročaji (boxplot), zato ga v oknu Chart builder poiščemo v spodnjem levem okvirčku v zavihku Gallery. Izberemo prvo vrsto boxplota, ki ga povlečemo v polje. Spremenljivko Class prenesemo na x-os, spremenljivko I0 pa na y-os, kot prikazuje slika.

V izvedbenem oknu SPSS se izriše graf okvir z ročajem, kot je prikazano spodaj.

Pri tipu tkiva ADI in CON imamo zelo visoke vrednosti, medtem ko so vrednosti pri tipih tkiva CAR, FAD, GLA, MAS podobne. Če mediana boxplota ne seka 1. ali 3. kvartila drugega boxplota, obstaja statistično značilna razlika med dvema tkivoma, zato lahko ugotovimo, da se ADI statistično značilno razlikuje od vseh ostalih tkiv. Enako velja za tkivo CON. Tkiva FAD, GLA in MAS se na pogled med seboj statistično značilno ne razlikujejo. Iz grafov lahko ugotovimo, da meritve I0 zelo dobro ločujejo med tkivi, zato je I0 pomemben faktor za ločevanje med tkivi. Prav tako lahko zelo dobro ugotovimo, katera tkiva boljše ločuje od drugih.
Spremenljivka Class je zapisana v obliki String (glej Variable View). Da lahko SPSS s spremenljivkami računa, morajo biti spremenljivke prekodirane v številke. To storimo z ukazom Transform -> Automatic Recode…
Spremenljivko Class prenesemo v okvirček Variable-> New Name. V okvirček New Name določimo novo ime spremenljivke. Pritisnemo Add New Name in potrdimo.


Vrednost 1 predstavlja ADI, 2 CAR, 3 CON, 4 FAD, 5 GLA in 6 MAS.
Sedaj lahko izvedemo enosmerno ANOVO z ukazom: Analyze -> Compare Means -> One Way ANOVA…


V izvedbenem oknu se izpiše naslednja tabela.

Na podlagi analize variance smo ugotovili, da je I0 statistično pomemben faktor za ločevanje med tkivi (p < 0.001). F-statistika je 216.345, kar je visoka vrednost in zaradi tega imamo veliko statistično značilnost oziroma zelo malo p-vrednost.
Da bi ugotovili, med katerimi tkivi meritev I0 dobro ločuje (obstaja statistično značilna razlika) naredimo še Post-Hoc analizo.
Ponovimo ukaz Analyze -> Compare Means -> One Way ANOVA… kjer z gumbom Post Hoc… označimo Tukey. Kriterij Tukey izberemo, kadar imamo več kot 5 primerjav.

Izriše se Post Hoc tabela, ki je prikazana spodaj.

Post hoc tabela nam prikaže, katera tkiva se med seboj statistično značilno razlikujejo. SPSS nam v pomoč zraven le-teh izpiše * pri razlikah, ki imajo p < 0.05.
Iz tabele je razvidno, da se ADI statistično značilno razlikuje od vseh ostalih tkiv. Ugotovimo lahko, da je razlika v spremenljivki I0 med ADI in ostalimi tkivi vedno pozitivna, kar pomeni, da ADI statistično značilno odstopa po meritvah I0 navzgor. Prav tako lahko za tkivo CON ugotovimo, da se statistično značilno razlikuje od ostalih tkiv po meritvah I0, in sicer ima nižje vrednosti kot ADI, vendar višje vrednosti od vseh ostalih tkiv. Ostala tkiva se po meritvah I0 statistično značilno ne razlikujejo.
Enak postopek ponovimo še za vse ostale meritve.
Z analizo variance smo ugotovili, da se meritev I0 statistično različno odziva glede na vrste tkiva oziroma, da je vrsta tkiva statistično značilen faktor za meritev I0 (F = 216.345, p < 0,001). Po dodatni post hoc analizi smo ugotovili, da se meritve I0 statistično značilno razlikujejo pri tkivu ADI od vseh ostalih tkiv, kjer smo ugotovili višje vrednosti I0 pri tkivu ADI od vseh ostalih tkiv. Podobno lahko ugotovimo, da se meritve I0 statistično značilno razlikujejo tudi pri tkivu CON od vseh ostalih tkiv, pri čemer so vrednosti I0 pri tem tkivu nižje kot pri tkivu ADI in višje od ostalih tkiv. Ostala tkiva se z meritvami I0 statistično značilno ne razlikujejo.
Na podoben način lahko izvedemo statistično analizo pri ostalih meritvah. Tako lahko ugotovimo, da je vrsta tkiva statistično pomemben faktor tudi pri meritvah PA500, HFS, DA, AREA, ADA, MAXIP, DR in P (p < 0.001). Dodatno je potrebno narediti še PostHOC analizo, da ugotovimo, pri katerih vrstah tkiva se meritve statistično značilno med seboj razlikujejo.
5.6 Enosmerna ANOVA na ponovljivih meritvah
V SPSS odprite datoteko kreatinin_akin_time_meas.sav. V datoteki imamo podatke o meritvah kreatinina pred operacijo (Kališnik et al. 2017), takoj po operaciji ter 2h, 24h in 48h po operaciji za paciente, ki so razvili akutno motnjo delovanja ledvic in za tiste, ki nimajo motnje delovanja ledvic (AKIN = 0 nimajo motnje, AKIN = 1 imajo motnjo delovanja ledvic).
Nariši grafe povprečja vrednosti kreatinina po vseh meritvah glede na AKIN.
Z analizo variance analiziraj spremembe kreatinina pri pacientih z AKIN = 0.
Z analizo variance analiziraj spremembe kreatinina pri pacientih z AKIN = 1.
Kaj lahko ugotoviš?
Po kateri meritvi se lahko ugotovi, ali gre za statistično značilne spremembe v vrednostih kreatinina pri pacientih z AKIN = 1?
Ali lahko trdimo, da se bo že po 2h lahko ugotovilo, ali bo razvil pacient akutno vnetje ledvic ali ne?
V datoteki kreatinin_akin_time_meas.sav imamo zbrane meritve spremenljivke kreatinin ob različnih časih pri istih pacientih. Ugotovili bi radi, ali obstajajo statistično značilne razlike med meritvami po času.

Graf nam prikazuje kakšne poteke meritev kreatinina lahko pričakujemo glede na čas pri pacientih brez okvare delovanja ledvic (AKIN = 0) in pri pacientih z okvaro delovanja ledvic (AKIN = 1). Zanima nas, ali lahko na podlagi časovnih meritev kreatinina določimo, ali bo pacient zbolel.
Postavimo si naslednji dve vprašanji:
- Ali obstajajo razlike v kreatininu po času pri skupini pacientov brez okvare delovanja ledvic?
- Ali obstajajo razlike v kreatininu po času pri skupini pacientov z okvaro delovanja ledvic?
Podatke bomo obdelovali posebej za skupino pacientov brez okvare (AKIN = 0) in posebej za skupino pacientov z okvaro delovanja ledvic (AKIN = 1), zato moramo to označiti v SPSS. Odpremo datoteko, nato pa z ukazom Data -> Split file -> Organize output by groups: AKIN -> OK povemo, da bomo delali analizo v dveh delih.


Spodnja slika prikazuje izsek iz datoteke s podatki. Opazimo, da imamo samo eno spremenljivko kreatinin, vendar je merjena ob različnih časih. Vrednosti po posameznih časih so zapisane v stolpcih, vrstica predstavlja enega pacienta. Podatke bi lahko imeli organizirane tudi drugače, da bi imeli spremenljivko kreatinin in spremenljivko čas, kjer bi označevali v katerem času, smo pridobili meritev kreatinina. Običajna praksa v zdravstvu je, da ena vrstica predstavlja meritve enega pacienta.

Narišimo grafe povprečja vrednosti kreatinina po vseh meritvah glede na AKIN. Graphs -> Legacy dialogs -> Line …

Izberemo graf Simple, saj smo programu že povedali, naj dela analizo posebej za paciente z okvaro in brez okvare delovanja ledvic. Nato z ukazom Summaries of separate variables povemo SPSS-u, da imamo samo eno spremenljivko kreatinin, a merjeno ob različnih časih. Izberemo Define.

Vstavimo kreatinin pred OP, kreatinin 0h, kreatinin 2h, kreatinin 24h in kreatinin 48h v Line Represents. SPSS bo izrisal povprečno vrednost vseh pacientov, dodali bomo še standardno napako za povprečje s pomočjo okvirjev (=STDERR). To izberemo z ukazom Options in izberemo Display error bars -> Continue -> OK.

Dobimo naslednje rezultate:

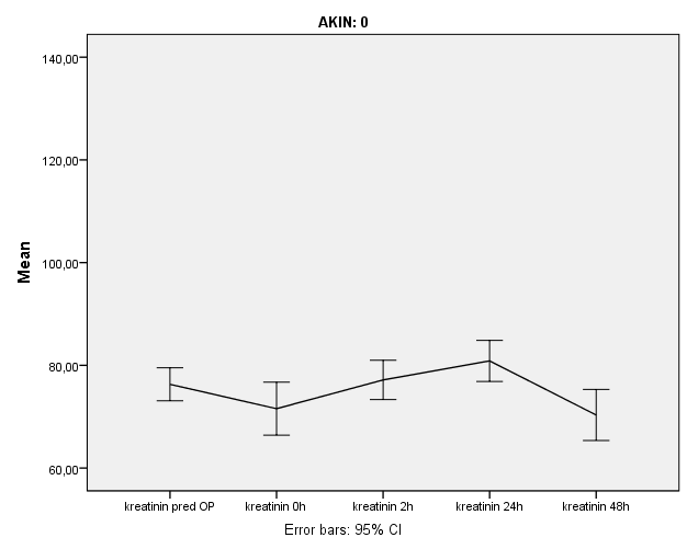
Graf nam prikazuje vrednosti kreatinina pri pacientih brez okvare delovanja ledvic (AKIN = 0). Pri odčitavanju tega grafa moramo biti pozorni na skalo. Prikaz popravimo z naslednjim postopkom: dvojni klik na graf -> dvojni klik na številko na y osi -> v zavihku Scale spremenimo maksimum na 140 -> Apply.

S tem dobimo naslednji graf:

Opazimo, da se vrednosti kreatinina pri pacientih AKIN = 0 ne spreminjajo drastično, kot je bilo to vidno brez popravljene skale na y-osi. Ta graf je podoben pričakovanemu poteku kreatinina pri zdravih pacientih iz grafa 1. V primeru, da se vse točke s standardno napako med sabo sekajo pomeni, da ni statistično značilnih razlik, razen v primeru kreatinina po 24h in 48h. Zato lahko sklepamo, da ne bi smelo biti statistično značilnih razlik med vsemi meritvami kreatinina, razen zadnjega primera, pa še ta je mejni.
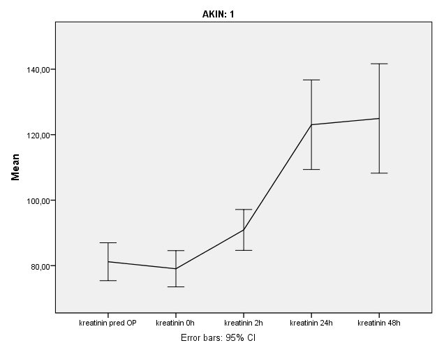
Graf kreatinina pri pacientih z okvaro delovanja ledvic (AKIN = 1) nam pokaže, da se vrednosti kreatinina razlikujejo ob različnih časih merjenja. Graf na naših podatkih je podoben pričakovanemu poteku kreatinina pri bolnih pacientih iz grafa 1. Če se na grafu intervali zaupanja v oceno povprečja med sabo ne sekajo, potem lahko trdimo, da obstajajo statistično značilne razlike med temi meritvami. Glede na dobljeni graf lahko ugotovimo statistično značilne razlike v meritvah kreatinina po 24h in 48h z meritvami kreatinina pred operacijo, med operacijo in 2h po operaciji. Iz grafa ne moremo ugotoviti, da je kreatinin 2h po operaciji statistično značilno različen od prejšnjih meritev kreatinina.

Izvedimo še ANOVO s ponovljivimi meritvami) za obe skupini pacientov posebej, da bomo ugotovili, ali je čas res statistično pomemben faktor za ločevanje med kreatininom.
Ker imamo odvisne meritve in 5 vzorcev, bomo za ugotavljanje statistično značilnih razlik uporabili test ANOVA s ponovljivimi meritvami) z ukazom Analyze -> General Linear model -> Repeated Measures…

Definiramo ime faktorja, ki je cas in število vrednosti, ki je enako 5. S klikom Add potrdimo in kliknemo Define. Odpre se nam okno, kjer definiramo stopnje merjenja kreatinina na naslednji način:


V izvedbenem oknu se nam izvede analiza podatkov. Zanima nas tabela Mauchly’s test of sphericity in tabela Tests of within-subject effects. Prva tabela nam pove, ali lahko predpostavimo enako varianco pri vseh skupinah meritev. Druga tabela nam pove ali je izbran faktor statistično značilen. To izračuna na štiri različne načine, mi gledamo prva dva. V primeru, da imajo meritve enako varianco gledamo test s Sphericity Assumed, če pa meritve nimajo enake variance pa gledamo test po Greenhouse-Geisser.
Poglejmo najprej analizo meritev za paciente brez vnetja ledvic (AKIN = 0).

Vrednost p < 0.001 pomeni, da moramo gledati p-vrednosti v naslednji tabeli v vrstici z rezultati testa Greenhouse-Geisser.

Iz tabele gledamo, ali je čas statistično pomemben faktor, tako da odčitamo podatke iz vrstice s testom Greenhouse-Geisser, kjer ugotovimo F = 10.215 in p – vrednost < 0.001. Tako lahko trdimo, da je čas meritev kreatinina statistično pomemben faktor pri pacientih iz skupine AKIN = 0. To je nepričakovano, vendar iz grafa lahko ugotovimo, da obstaja statistično značilna razlika med meritvami kreatinina po 24h z meritvami kreatinina po 48h, kar posledično da takšen rezultat statistične analize.
Pri podatkih za paciente z okvaro ledvic (AKIN = 1), prav tako ne moremo predpostaviti enake variance med skupinami meritev (p < 0.001).

Zato v drugi tabeli gledamo rezultate testa Greenhouse-Geisser v drugi vrstici.

Tudi tu lahko ugotovimo, da je čas statistično pomemben faktor za vrednosti kreatinina, saj imamo F = 31.776 in p < 0.001. Na podlagi primerjave s skupino AKIN = 0 lahko ugotovimo, da se zaradi višje F-vrednosti meritve kreatinina bolj razlikujejo po času, kot v primeru zdravih pacientov (AKIN = 0).
Post hoc analize pri tovrstni ANOVI v SPSS ne moremo narediti, zato bomo na zadnje vprašanje odgovorili iz grafa meritev kreatinina pri skupini AKIN = 1. Glede na dobljeni graf lahko ugotovimo statistično značilne razlike v meritvah kreatinina po 24h in 48h v primerjavi z meritvami kreatinina pred operacijo, med operacijo in 2h po operaciji. Iz grafa ne moremo ugotoviti, da je kreatinin 2h po operaciji statistično značilno različen od prejšnjih meritev kreatinina.
Na podlagi statistične analize meritev kreatinina ob različnih časih pri pacientih z okvaro delovanja ledvic in brez okvare, smo ugotovili tipičen potek povišanja vrednosti kreatinina pri skupini z okvaro delovanja ledvic in približno enake vrednosti kreatinina pri zdravih pacientih.
Povišanje vrednosti kreatinina pri pacientih z okvaro delovanja ledvic je statistično značilno, kar smo pokazali z analizo variance s ponovljivimi meritvami (F = 31.8, p < 0.001). Tudi v skupini brez okvare delovanja ledvic smo ugotovili statistično značilne vrednosti kreatinina (F = 10.2, p < 0.001), vendar iz grafa lahko razberemo, da je bilo to na račun vrednosti kreatinina 24h po operaciji, ki se statistično značilno razlikuje od kreatinina merjenega 48h po operaciji. Iz grafa, ki prikazuje vrednosti kreatinina v odvisnosti od časa pri skupini z okvaro delovanja ledvic, lahko ugotovimo, da obstajajo statistično značilna odstopanja meritev kreatinina 24h in 48h po operaciji v primerjavi z meritvami kreatinina pred, med in 2h po operaciji. Iz grafa ne moremo ugotoviti statistično značilnega odstopanja vrednosti kreatinina 2h po operaciji.
5.7 Neparametrične verzije ANOVE
Pri vajah iz pog. 5.5 in pog. 5.6 smo izvajali enosmerno ANOVO na različnih podatkih, vendar nismo preverjali normalne porazdeljenosti vzorcev, ampak smo normalnost kar predpostavili. Pri tej vaji bomo najprej preverili normalnost podatkov pri vajah iz pog. 5.5 in pog. 5.6 ter nato glede na ugotovitve, izvedli še neparametrične verzije ANOVE.
Pri vaji iz pog. 5.5 na meritvah impedančne spektroskopije na različnih tkivih dojke po biopsiji izvedite test normalnosti vzorcev vseh skupin meritev in nato izvedite neparametrično verzijo enosmerne ANOVE s Kruskal-Wallisovim testom. Rezultate primerjajte s parametrično verzijo ANOVE.
Pri vaji iz pog. 5.6 na ponovljenih meritvah kreatinina pri pacientih z in brez delovanja funkcije ledvic izvedite test normalnosti vzorcev vseh skupin meritev in nato izvedite neparametrično verzijo enosmerne ANOVE s Friedmanovim testom. Rezultate primerjajte s parametrično verzijo ANOVE.
Z SPSS preberemo podatke vaje iz pog. 5.5, tako kot smo to naredili v prvem koraku vaje iz pog. 5.5.
Najprej preverimo normalno porazdeljenost vzorcev z ukazom Analyze -> Descriptive Statistics -> Explore…

Zanima nas porazdelitev spremenljivke I0, glede na tip tkiva, zato za odvisno spremenljivko izberemo I0, faktorska spremenljivka pa je Class_Num. Z gumbom Plots… označimo Normality Plots with tests.

V izvedbenem oknu se nam izpiše tabela statistike testov normalnosti.

Na podlagi Kolmogorov-Smirnov testa kot tudi Shapiro-Wilkovega testa lahko ugotovimo, da meritve spremenljivke I0 niso normalno porazdeljene pri tkivu GLA (p = 0.015).
Za ugotavljanje ustreznosti meritve I0 za ločevanje med tkivi bomo uporabili ANOVO. Ker naše meritve niso normalno porazdeljene in med seboj niso odvisne bomo uporabili Kruskal-Wallisov test.
Izvedemo ukaz Analyze -> Nonparametric Tests -> Independent Samples…

V zavihku Fields določimo spremenljivko, ki jo bomo testirali (I0) glede na tip tkiva (Class_Num).

V zavihku Settings izberemo ustrezni test:

V izvedbenem oknu SPSS se izpiše končni rezultat statistične analize s Kruskal-Wallisovim testom:

Rezultat testa pove, da je I0 statistično pomemben faktor za ločevanje med tkivi (p < 0.001).
Poglejmo še vajo iz pog. 5.6. Tu bi radi pokazali, ali se meritve kreatinina pri pacientih pri srčnih operacijah po času razlikujejo. To smo v nalogi iz pog. 5.6 izvedli z ANOVA s ponovljivimi meritvami ločeno pri pacientih z in brez motenj delovanja ledvic.
Najprej pripravimo podatke za analizo kot smo to storili v korakih od 1 do 3 pri vaji iz pog. 5.6.
Testiramo normalnost meritev z ukazom Analyze -> Descriptive Statistics -> Explore…

Izberemo spremenljivke kreatinina za analizo in z gumbom Plots… izberemo, da bomo izvedli statistiko normalnosti meritev Normality plots with tests.

V izvedbenem oknu SPSS dobimo rezultate analize. Zanimajo nas samo tabele statistike normalnosti.
V primeru AKIN = 0 dobimo tabelo, kjer ugotovimo, da so vse meritve normalno porazdeljene.

V primeru AKIN = 1 dobimo tabelo, kjer ugotovimo, da prvi dve meritvi kreatinina nista normalno porazdeljeni. 
Na podlagi rezultatov se odločimo, da bomo neparametrično verzijo ANOVE izvedli samo pri skupini pacientov pri AKIN = 1.
Izvedemo Friedmanov test na meritvah kreatinina pri skupini AKIN = 1 z ukazom: Analyze -> Nonparametric Tests -> Related Samples…

V zavihku Fields izberemo spremenljivke kreatinina, ki jih bomo testirali.

V zavihku Settings izberemo ustrezni test:

V izvedbenem oknu SPSS se pojavijo rezultati Friedmanovega testa:

Rezultat Friedmanovega testa pove, da so časovne meritve kreatinina pri skupini AKIN = 1 statistično značilno različne (p < 0.001). Če dvakrat kliknemo na tabelo, se nam pojavi bolj podrobna statistika Friedmanovega testa, ki je prikazana spodaj.

Ker s Friedmanovim testom primerjamo vrstni red meritev med seboj, lahko ugotovimo, da imajo povprečni najnižji vrstni red meritve kreatinina 0h po operaciji (povprečje je 1.50), sledijo meritve kreatinina pred operacijo (povprečje = 1.81), potem kreatinin 2h po operaciji (povprečje = 2.98), sledi kreatinin 24h po operaciji (povprečje = 4.33) in kreatinin 48h po operaciji (povprečje = 4.38). Na ta način dobimo tudi vpogled, katere meritve najbolj izstopajo in v katerem vrstnem redu.
V primeru, ko meritve niso normalno porazdeljene, namesto ANOVE uporabljamo neparametrične verzije testov, in sicer v primeru enosmerne ANOVA z neodvisnimi meritvami uporabimo Kruskal-Wallisov test, v primeru enosmerne ANOVA z odvisnimi meritvami pa Friedmanov test.
Rezultati analize so v tem primeru enaki kot pri vajah iz pog. 5.5 in pog. 5.6, vendar smo v obeh primerih uporabili teste, ki so pravilni za analizo v primeru, ko meritve niso normalno porazdeljene.
5.8 Dvosmerna ANOVA
Denimo, da merimo število povpraševanj po nekem izdelku glede na način oglaševanja izdelka v časopisih. Podatki o številu povpraševanj so zbrani v datoteki oglasevanje.xls. Podatki so zbrani glede na dan oglaševanja in glede na vrsto časopisa (lokalne, finančne, športne novice). Podatke smo za vsako kombinacijo zbrali 4-krat (različni časopisi).
Testiramo hipotezo, ali se povpraševanja po izdelku razlikujejo glede na dan oglaševanja in mesto oglasa v časopisu. Ker imamo dva faktorja, to naredimo z dvosmerno ANOVA.
- Najprej podatke uredimo, da jih lahko testiramo z ANOVA v SPSS.
- Nato izrišemo grafe, ki bi bili primerni za prikaz števila povpraševanja glede na oba faktorja.
- Izvedemo dvo-smerno analizo variance v SPSS. Kaj ugotovimo? Kako si razložimo interakcijo med obema faktorjema?
- Naredimo še post-hoc analizo z obema faktorjema, da ugotovimo, katere kombinacije oglaševanja izstopajo od drugih.
- Najprej podatke uredimo, da jih lahko testiramo z ANOVA v SPSS.
Hočemo ugotoviti, kateri dan v tednu in v kateri tip časopisa se nam splača oglaševati izdelek, da bo povpraševanje največje.
Odpremo datoteko oglasevanje.xls v Excelu. Podatki so v naslednji obliki:

V podatkih imamo tri spremenljivke: dan, tip novic, število povpraševanj. Tako lahko ugotovimo, da podatki niso pravilno organizirani, zato jih preuredimo tako, da bo vsaka spremenljivka v svojem stolpcu. Urejene podatke prilepimo na drugi list datoteke, da jih bomo lahko izvozili v SPSS datoteko. Slika prikazuje pravilno urejene podatke v Excelu.

Dneve v tednu označimo s PO, TO, SR, CE, PE, tip časopisa pa LN (lokalne novice), FN (finančne novice), SN (športne novice).
Uvozimo podatke v SPSS: File -> Import data -> izberemo datoteko in označimo drugi list excel datoteke:


Ker želimo povpraševanje, ki je skalarna spremenljivka, napovedovati z dvema faktorjema: dan in tip novic, ki sta kategorijski spremenljivki, bomo uporabili test ANOVA z dvema faktorjema.
Testirali bomo 3 hipoteze:
Ali je dan statistično značilen faktor za število povpraševanj?
Ali je tip novic statistično značilen faktor za število povpraševanj?
Ali je interakcija obeh faktorjev statistično pomembna za število povpraševanj?
Najprej izrišemo grafe stolpični diagram: Graph -> Chart builder -> Bar; izberemo drugo možnost. Na x-os postavimo spremenljivko dan, na y-os spremenljivko št. povpraševanj, na barve pa spremenljivko tip novic. Spremenljivko št. povpraševanj moramo spremeniti še v skalarno spremenljivko. To naredimo z desnim klikom na zapis spremenljivke in označimo tip spremenljivke: Scale.



Potrdimo vnos in dobimo naslednji graf:

Iz grafa lahko razberemo, da smo imeli v povprečju največ povpraševanj v petek pri lokalnih novicah.
Če nas zanima, ali obstaja statistično značilna razlika v povpraševanju med dnevi gledamo graf tako, da ne upoštevamo barv, primerjamo le dneve med sabo. Opazimo lahko, da je bilo v petek največ povpraševanj in v četrtek najmanj.
Če nas zanima, ali obstaja statistično značilna razlika med tipi novic gledamo graf tako, da ne upoštevamo dni, enake barve damo skupaj. Na tak način lahko opazimo, da je bilo največ povpraševanj pri lokalnih novicah (zelena barva).
Če nas zanima, ali je interakcija obeh faktorjev statistično pomembna gledamo graf tako, da preverjamo, ali so porazdelitve znotraj dni glede na novice proporcionalno podobne. Če gledamo na graf tako, lahko opazimo, da so oblike torka, srede in petka podobne, drugih dveh dni (ponedeljek in četrtek) pa ne.
Izvedemo test ANOVA z dvema faktorjema z ukazom: Analyze -> General linear model -> Univariate.

Kot odvisno spremenljivko določimo st_povprasevanj, kot faktorja pa spremenljivki dan in tip novic. Pod možnostjo Post Hoc … dodamo oba faktorja in označimo kriterija LSD in Tukey. Kriterij LSD bomo uporabili pri post hoc analizi tipa novic, ker so trije tipi. Kriterij Tukey pa bomo gledali pri post hoc analizi za spremenljivko dan, saj imamo več kot 3 primerjave med dnevi.

V izvedbenem oknu se nam izvede statistika in izrišejo tabele.
Iz analize lahko ugotovimo naslednje: Dan je statistično značilen faktor s F = 20.910 in p < 0.001. Tip novic je statistično značilen faktor s F = 15.304 in p < 0.001. Interakcija je statistično značilna s F = 9.667 in p < 0.001. Pri primerjavi vrednosti F-statistike opazimo, da je za povpraševanje najpomembnejši faktor dan, potem tip novic in nazadnje interakcija med faktorjema.
Pri Post hoc analizi faktorja dan gledamo vrednosti kriterija Tukey:

Ugotovimo, da se četrtek statistično značilno razlikuje od vseh ostalih dni in ima najmanjše povpraševanje, saj so razlike med četrtkom in ostalimi dnevi negativne. Tako lahko zaključimo, da je četrtek najslabši dan za povpraševanje.
Petek je statistično značilno različen od vseh ostalih dni s pozitivnimi razlikami, kar pomeni, da so tu v povprečju največja povpraševanja. Zato lahko zaključimo, da je petek najboljši dan za oglaševanje.
Pri primerjavi ostalih dni opazimo, da niso statistično značilno različni med seboj, zato je vseeno, v katerem izmed teh dni bomo izvedli oglaševanje.
Pri Post hoc analizi faktorja tip novic gledamo vrednosti pri kriteriju LSD:

Finančne novice se statistično značilno razlikujejo od športnih novic (p < 0.001), ne pa od lokalnih novic (p = 0.635). Razlika je pozitivna, kar pomeni da je povpraševanje v finančnih novicah večje kot v športnih novicah.
Lokalne novice se statistično značilno razlikujejo od športnih novic (p < 0.001). Povpraševanje je zaradi pozitivne razlike večje v lokalnih kot v športnih novicah.
Ko želimo napovedovati neko skalarno spremenljivko z dvema faktorjema, ki sta kategorijski spremenljivki, moramo uporabiti test ANOVA z dvema faktorjema. Ugotoviti moramo ali vsak posamezen faktor vpliva na skalarno spremenljivko in ali vpliva tudi interakcija med faktorjema.
S post hoc analizo ugotavljamo, katere kombinacije faktorja se razlikujejo od drugih in na kakšen način. V primeru, ko je vrednost razlike povprečij pozitivna, pomeni da je faktor pri prvi vrednosti večji kot pri drugi. V primeru, ko je vrednost razlike povprečij negativna pa pomeni, da je faktor pri prvi vrednosti manjši kot pri drugi.
V našem primeru oglaševanja z dvosmerno analizo variance lahko ugotovimo naslednje:
dan v tednu je statistično značilen faktor za oglaševanje (F = 20.910, p < 0.001),
tip novic je statistično značilen faktor za oglaševanje (F = 15.304 in p < 0.001),
interakcija obeh faktorjev je tudi statistično značilna (F = 9.667 in p < 0.001),
najpomembnejši faktor za število povpraševanj je dan, potem tip novic in nato interakcija glede na izračunane F-vrednosti pri ANOVI.
S post-hoc analizo (kriterij Tukey) ugotovimo, da oglaševanje v petek statistično značilno odstopa od ostalih dni po povpraševanju (vse p < 0.001). Povpraševanje je večje od ostalih dni. Četrtek tudi statistično značilno odstopa od ostalih dni z nižjim povpraševanjem. Povpraševanje pri ostalih dnevih se statistično značilno ne razlikuje.
S post hoc analizo tipa novic (kriterij LSD) lahko ugotovimo, da je povpraševanje statistično značilno najnižje v športnih novicah (p < 0.001), pri finančnih in lokalnih novicah pa ni statistično značilne razlike (p=0.635).
Iz analize ugotovimo, da je za največje povpraševanje potrebno oglaševati v petek v finančnih ali v lokalnih novicah. Najslabše povpraševanje pa je v športnih novicah ob četrtkih.